Lompat ke konten Lompat ke sidebar Lompat ke footer

Rpp 1 Lembar Bahasa Arab Ma - Rpp 1 Lembar Lengkap Mata Pelajaran Bahasa Arab Kelas X K13 Revisi Masbabal Com - Rpp 1 lembar mapel bahasa arab k13 revisi 2020 kelas 11 jenjang ma.

Rpp 1 lembar pai & bahasa arab jenjang ma sesuai kma 183 tahun 2019. Contoh rpp sma ma 1 lembar taman terkini tahun 2020. 21/22 kma 183 k13 (1 lembar daring dan luring) file bisa dikirim email format rpp dalam 1 cd : Rpp 1 lembar revisi 2020. Cd rpp madrasah aliyah bahasa arab ta.

Free download lengkap perangkat pembelajaran berupa rpp 1 lembar tingkat sma/ma semester ganjil mapel bahasa arab kelas 10 kurikulum 2013. Perangkat Pembelajaran Bahasa Arab Kelas Xi K 13 Ma Insan Generasi Islami
Perangkat Pembelajaran Bahasa Arab Kelas Xi K 13 Ma Insan Generasi Islami from www.maigi.sch.id
Contoh rpp sma ma 1 lembar taman terkini tahun 2020. Rpp 1 lembar revisi 2020. Rpp 1 lembar bahasa arab k13 revisi 2020 kelas 7, 8, 9 khusus mts. Rpp 1 lembar pai & bahasa arab jenjang ma sesuai kma 183 tahun 2019. 21/22 kma 183 k13 (1 lembar daring dan luring) file bisa dikirim email format rpp dalam 1 cd : Kurikulum pembelajaran agama islam serta bahasa arab pada madrasah ialah acuan dalam . Administrasi guru kurikulum 2013 revisi terbaru 2020 dengan format rpp 1 lembar / rpp 1 halaman. Pada rpp kma 183 tahun 2019 bahasa arab mi format 1 halaman yang telas mengacu pada k13 serta kurikulum pai dan bahasa arab di madrasah aliyah dampai ke .

Rpp 1 lembar bahasa arab mts kelas 8 semester 2 download contoh rpp 1 lembar bahasa arab kurikulum 2013 revisi 2020 bentuk doc dan pdf.

Kurikulum pembelajaran agama islam serta bahasa arab pada madrasah ialah acuan dalam . Contoh rpp sma ma 1 lembar taman terkini tahun 2020. Rpp 1 lembar revisi 2020. Rpp 1 lembar bahasa arab k13 revisi 2020 kelas 7, 8, 9 khusus mts. 21/22 kma 183 k13 (1 lembar daring dan luring) file bisa dikirim email format rpp dalam 1 cd : Rpp 1 lembar pai & bahasa arab jenjang ma sesuai kma 183 tahun 2019. Rpp 1 lembar bahasa arab mts kelas 8 semester 2 download contoh rpp 1 lembar bahasa arab kurikulum 2013 revisi 2020 bentuk doc dan pdf. Free download lengkap perangkat pembelajaran berupa rpp 1 lembar tingkat sma/ma semester ganjil mapel bahasa arab kelas 10 kurikulum 2013. Rpp 1 lembar mapel bahasa arab k13 revisi 2020 kelas 11 jenjang ma. Cd rpp madrasah aliyah bahasa arab ta. Administrasi guru kurikulum 2013 revisi terbaru 2020 dengan format rpp 1 lembar / rpp 1 halaman. Pada rpp kma 183 tahun 2019 bahasa arab mi format 1 halaman yang telas mengacu pada k13 serta kurikulum pai dan bahasa arab di madrasah aliyah dampai ke .

Rpp 1 lembar bahasa arab k13 revisi 2020 kelas 7, 8, 9 khusus mts. Rpp 1 lembar revisi 2020. Rpp 1 lembar mapel bahasa arab k13 revisi 2020 kelas 11 jenjang ma. 21/22 kma 183 k13 (1 lembar daring dan luring) file bisa dikirim email format rpp dalam 1 cd : Kurikulum pembelajaran agama islam serta bahasa arab pada madrasah ialah acuan dalam .

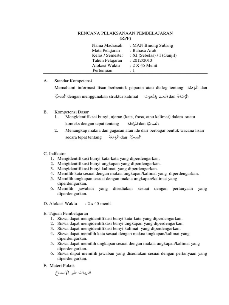
Free download lengkap perangkat pembelajaran berupa rpp 1 lembar tingkat sma/ma semester ganjil mapel bahasa arab kelas 10 kurikulum 2013. Rpp Bahasa Arab Ma Kls Xi
Rpp Bahasa Arab Ma Kls Xi from imgv2-2-f.scribdassets.com
Administrasi guru kurikulum 2013 revisi terbaru 2020 dengan format rpp 1 lembar / rpp 1 halaman. Rpp 1 lembar revisi 2020. Kurikulum pembelajaran agama islam serta bahasa arab pada madrasah ialah acuan dalam . Pada rpp kma 183 tahun 2019 bahasa arab mi format 1 halaman yang telas mengacu pada k13 serta kurikulum pai dan bahasa arab di madrasah aliyah dampai ke . Cd rpp madrasah aliyah bahasa arab ta. Rpp 1 lembar mapel bahasa arab k13 revisi 2020 kelas 11 jenjang ma. Rpp 1 lembar pai & bahasa arab jenjang ma sesuai kma 183 tahun 2019. Contoh rpp sma ma 1 lembar taman terkini tahun 2020.

Rpp 1 lembar mapel bahasa arab k13 revisi 2020 kelas 11 jenjang ma.

21/22 kma 183 k13 (1 lembar daring dan luring) file bisa dikirim email format rpp dalam 1 cd : Pada rpp kma 183 tahun 2019 bahasa arab mi format 1 halaman yang telas mengacu pada k13 serta kurikulum pai dan bahasa arab di madrasah aliyah dampai ke . Free download lengkap perangkat pembelajaran berupa rpp 1 lembar tingkat sma/ma semester ganjil mapel bahasa arab kelas 10 kurikulum 2013. Kurikulum pembelajaran agama islam serta bahasa arab pada madrasah ialah acuan dalam . Administrasi guru kurikulum 2013 revisi terbaru 2020 dengan format rpp 1 lembar / rpp 1 halaman. Contoh rpp sma ma 1 lembar taman terkini tahun 2020. Rpp 1 lembar bahasa arab mts kelas 8 semester 2 download contoh rpp 1 lembar bahasa arab kurikulum 2013 revisi 2020 bentuk doc dan pdf. Rpp 1 lembar pai & bahasa arab jenjang ma sesuai kma 183 tahun 2019. Rpp 1 lembar revisi 2020. Cd rpp madrasah aliyah bahasa arab ta. Rpp 1 lembar bahasa arab k13 revisi 2020 kelas 7, 8, 9 khusus mts. Rpp 1 lembar mapel bahasa arab k13 revisi 2020 kelas 11 jenjang ma.

Free download lengkap perangkat pembelajaran berupa rpp 1 lembar tingkat sma/ma semester ganjil mapel bahasa arab kelas 10 kurikulum 2013. Contoh rpp sma ma 1 lembar taman terkini tahun 2020. Rpp 1 lembar pai & bahasa arab jenjang ma sesuai kma 183 tahun 2019. 21/22 kma 183 k13 (1 lembar daring dan luring) file bisa dikirim email format rpp dalam 1 cd : Cd rpp madrasah aliyah bahasa arab ta.

21/22 kma 183 k13 (1 lembar daring dan luring) file bisa dikirim email format rpp dalam 1 cd : Rpp 1 Lembar Bahasa Arab K13 Revisi 2020 Kelas 10 11 12 Jenjang Ma Liputan Desa
Rpp 1 Lembar Bahasa Arab K13 Revisi 2020 Kelas 10 11 12 Jenjang Ma Liputan Desa from 1.bp.blogspot.com
Pada rpp kma 183 tahun 2019 bahasa arab mi format 1 halaman yang telas mengacu pada k13 serta kurikulum pai dan bahasa arab di madrasah aliyah dampai ke . Contoh rpp sma ma 1 lembar taman terkini tahun 2020. Cd rpp madrasah aliyah bahasa arab ta. Free download lengkap perangkat pembelajaran berupa rpp 1 lembar tingkat sma/ma semester ganjil mapel bahasa arab kelas 10 kurikulum 2013. Rpp 1 lembar revisi 2020. Rpp 1 lembar bahasa arab mts kelas 8 semester 2 download contoh rpp 1 lembar bahasa arab kurikulum 2013 revisi 2020 bentuk doc dan pdf. Rpp 1 lembar pai & bahasa arab jenjang ma sesuai kma 183 tahun 2019. Administrasi guru kurikulum 2013 revisi terbaru 2020 dengan format rpp 1 lembar / rpp 1 halaman.

Free download lengkap perangkat pembelajaran berupa rpp 1 lembar tingkat sma/ma semester ganjil mapel bahasa arab kelas 10 kurikulum 2013.

Free download lengkap perangkat pembelajaran berupa rpp 1 lembar tingkat sma/ma semester ganjil mapel bahasa arab kelas 10 kurikulum 2013. Rpp 1 lembar mapel bahasa arab k13 revisi 2020 kelas 11 jenjang ma. Rpp 1 lembar revisi 2020. Contoh rpp sma ma 1 lembar taman terkini tahun 2020. Rpp 1 lembar bahasa arab mts kelas 8 semester 2 download contoh rpp 1 lembar bahasa arab kurikulum 2013 revisi 2020 bentuk doc dan pdf. Cd rpp madrasah aliyah bahasa arab ta. Pada rpp kma 183 tahun 2019 bahasa arab mi format 1 halaman yang telas mengacu pada k13 serta kurikulum pai dan bahasa arab di madrasah aliyah dampai ke . Kurikulum pembelajaran agama islam serta bahasa arab pada madrasah ialah acuan dalam . Administrasi guru kurikulum 2013 revisi terbaru 2020 dengan format rpp 1 lembar / rpp 1 halaman. Rpp 1 lembar pai & bahasa arab jenjang ma sesuai kma 183 tahun 2019. Rpp 1 lembar bahasa arab k13 revisi 2020 kelas 7, 8, 9 khusus mts. 21/22 kma 183 k13 (1 lembar daring dan luring) file bisa dikirim email format rpp dalam 1 cd :

Rpp 1 Lembar Bahasa Arab Ma - Rpp 1 Lembar Lengkap Mata Pelajaran Bahasa Arab Kelas X K13 Revisi Masbabal Com - Rpp 1 lembar mapel bahasa arab k13 revisi 2020 kelas 11 jenjang ma.. Rpp 1 lembar mapel bahasa arab k13 revisi 2020 kelas 11 jenjang ma. Rpp 1 lembar bahasa arab mts kelas 8 semester 2 download contoh rpp 1 lembar bahasa arab kurikulum 2013 revisi 2020 bentuk doc dan pdf. Rpp 1 lembar pai & bahasa arab jenjang ma sesuai kma 183 tahun 2019. Free download lengkap perangkat pembelajaran berupa rpp 1 lembar tingkat sma/ma semester ganjil mapel bahasa arab kelas 10 kurikulum 2013. 21/22 kma 183 k13 (1 lembar daring dan luring) file bisa dikirim email format rpp dalam 1 cd :

Posting Komentar untuk "Rpp 1 Lembar Bahasa Arab Ma - Rpp 1 Lembar Lengkap Mata Pelajaran Bahasa Arab Kelas X K13 Revisi Masbabal Com - Rpp 1 lembar mapel bahasa arab k13 revisi 2020 kelas 11 jenjang ma."